Nội dung bài viết
Biến tần có khả năng thay đổi tần số của các thiết bị điện, giúp tăng năng suất, giảm chi phí bảo trì động cơ, tiết kiệm năng lượng. Nhờ đó mà thiết bị này được ứng dụng rộng rãi trong công nghiệp và dân dụng. Hãy cùng tìm hiểu về cấu tạo, nguyên lý và ứng dụng của biến tần trong bài viết dưới đây.
Biến tần là thiết bị gì?
Biến tần là một thiết bị điện tử có khả năng chuyển đổi dòng điện một chiều hoặc xoay chiều thành dòng điện xoay chiều với tần số và điện áp có thể điều chỉnh được. Bằng cách thay đổi tần số dòng điện cấp vào cuộn dây bên trong động cơ, biến tần có thể điều khiển tốc độ động cơ liên tục mà không cần sử dụng hộp số cơ. Về bản chất, biến tần là một thiết bị hiệu chỉnh nguồn điện.

Dựa vào cấp điện áp, biến tần có thể được chia thành: 220V 1 pha, 3 pha 220V, 3 pha 380V,… Ngoài các biến tần thông dụng còn có các biến tần chuyên dụng dùng cho máy bơm, quạt, thang máy, cầu trục, hệ thống HVAC, hệ thống năng lượng mặt trời…
Cấu trúc biến tần
Tùy theo ứng dụng và yêu cầu kỹ thuật của hệ thống điều khiển mà cấu tạo của từng loại biến tần sẽ khác nhau. Tuy nhiên, về cơ bản, một chiếc biến tần sẽ bao gồm những bộ phận chính sau:
- Mạch nguồn: cấp nguồn cho toàn bộ biến tần
- Mạch điều khiển: là trung tâm điều khiển của biến tần, có chức năng điều khiển, lập trình và bảo vệ.
- Mạch chuyển đổi tần số: mạch chính của biến tần, có chức năng chuyển đổi tần số dòng điện đầu vào 50Hz thành tần số dòng điện đầu ra có thể điều chỉnh từ 0 đến 400Hz. Mạch này bao gồm bộ chỉnh lưu, bộ lọc và biến tần IGBT.
- Mạch bảo vệ: bao gồm các thiết bị bảo vệ quá tải, bảo vệ quá dòng, bảo vệ khi có sự cố về điện ảnh hưởng đến hoạt động của hệ thống.
- Màn hình – bàn phím: dùng để thực hiện các thao tác giám sát, cài đặt và điều khiển từ người vận hành.

Ngoài ra, một số biến tần còn tích hợp module truyền thông, cuộn kháng AC, cuộn kháng DC, điện trở hãm (điện trở phóng điện),…
Xem thêm: Cách nhận biết ký hiệu biến tần cơ bản nhất
Nguyên lý làm việc của biến tần
Nguyên lý hoạt động của biến tần trải qua 2 giai đoạn:
- Giai đoạn 1: Biến tần nhận nguồn điện đầu vào từ nguồn điện (có thể là 1 pha hoặc 3 pha nhưng sẽ có điện áp và tần số cố định, ví dụ 3 pha 220V 50Hz). Nguồn điện sau đó được chỉnh lưu và lọc thành nguồn DC phẳng. Bước này được thực hiện bởi bộ chỉnh lưu cầu diode và tụ điện.
- Giai đoạn 2: Điện áp một chiều sẽ được nghịch thành điện áp xoay chiều 3 pha đối xứng. Bước này được thực hiện bằng bộ chuyển đổi IGBT (transistor lưỡng cực có cổng cách điện) bằng phương pháp điều chế độ rộng xung xung.

Tần số của tín hiệu ra sẽ phụ thuộc vào tín hiệu điều khiển và các thông số được lập trình sẵn trong biến tần. Do đó, người vận hành có thể cài đặt sẵn chế độ vận hành hoặc điều khiển trực tiếp.
Ngoài ra, trong quá trình vận hành, biến tần có thể phát hiện các vấn đề quá tải, quá áp, sụt áp, mất pha và đưa ra cảnh báo lỗi nhỏ. Trong trường hợp phát hiện lỗi nghiêm trọng ảnh hưởng đến hệ thống, thiết bị này sẽ ngừng cấp điện cho động cơ.
Lợi ích của việc sử dụng biến tần
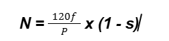
Ta có công thức tính tốc độ động cơ:

Từ công thức trên có thể thấy tốc độ động cơ phụ thuộc vào 3 yếu tố và cũng có 3 phương pháp thay đổi tốc độ động cơ:
- Thay đổi số cực động cơ (P)
- Thay đổi hệ số trượt
- Thay đổi tần số (f) của điện áp đầu vào
Hai phương pháp đầu tiên rất khó thực hiện và không hiệu quả lắm. Phương pháp thứ ba được coi là hiệu quả nhất và biến tần là thiết bị tối ưu để thay đổi tần số.

So với chi phí ban đầu, lợi ích mà biến tần mang lại cho hệ thống là rất lớn, đặc biệt là các hệ thống có kết cấu phức tạp hoặc hệ thống công nghiệp đặc thù. Những giá trị mà biến tần mang lại cho nhà máy bao gồm:
- Kiểm soát tốc độ động cơ bằng cách điều chỉnh tần số đầu vào, giúp tăng độ chính xác và tính linh hoạt của tốc độ máy và dây chuyền sản xuất.
- Đảo chiều quay của động cơ khi máy hết hành trình hoặc khi xảy ra sự cố.
- Bảo vệ động cơ khi gặp các vấn đề quá tải, quá áp, sụt áp, mất pha,… tạo hệ thống an toàn khi vận hành.
- Giảm thiểu dòng khởi động so với phương pháp khởi động trực tiếp, phương pháp khởi động sao-tam giác, hạn chế sụt áp hoặc khó khởi động.
- Hỗ trợ điều khiển và giám sát động cơ từ xa nhờ các module truyền thông được tích hợp trong biến tần.
- Hạn chế khởi động đột ngột các động cơ mang tải lớn, tránh hư hỏng các bộ phận cơ khí và vòng bi, tăng tuổi thọ động cơ, giảm chi phí bảo trì.
- Tiết kiệm năng lượng tới 40% so với phương pháp chạy động cơ trực tiếp.
- Giảm thiểu công suất phản kháng từ động cơ, từ đó giảm chi phí lắp đặt tụ điện và giảm thiểu tổn thất điện năng trên đường dây.
- Giảm tiếng ồn và độ rung động cơ, cải thiện môi trường làm việc và sức khỏe người lao động.
Xem thêm: Kinh nghiệm chọn biến tần hiệu quả cho động cơ
Ứng dụng biến tần
Thiết bị điện tử
Các thiết bị điện tử được sử dụng trong gia đình hiện nay như tủ lạnh, điều hòa, máy giặt,… đều sử dụng bộ biến tần (hoặc bộ biến tần) để nâng cao hiệu quả sử dụng năng lượng. Ngoài ra, một số thiết bị có công suất nhỏ (vài đến vài chục watt) như chấn lưu điện tử cho đèn huỳnh quang, đèn compact hay bộ cấp nguồn cho đèn huỳnh quang (CCFL) cũng được lắp đặt bộ biến tần.
Thiết bị điện
Biến tần đang dần trở thành thiết bị không thể thiếu trong các nhà máy điện sử dụng năng lượng tái tạo như điện mặt trời, điện gió, điện thủy triều,… với chức năng chuyển đổi các nguồn điện trên thành nguồn điện xoay chiều công nghiệp và hòa lưới.

Đặc điểm của dòng điện nguyên thủy là công suất và điện áp không ổn định. Để đấu nối vào lưới điện công nghiệp cần sử dụng biến tần cùng hệ thống ắc quy sạc làm bộ đệm, chuyển đổi sang nguồn điện 3 pha tiêu chuẩn. Các bộ nghịch lưu nối lưới bắt buộc phải có hệ thống điều khiển dạng xung, pha và điện áp để đáp ứng việc truyền năng lượng lên lưới.
Bộ biến tần DC cho hệ thống điện mặt trời áp mái thường có công suất vài kW, chuyển đổi thành điện áp AC 220V hoặc AC 110V, 1 pha hoặc 3 pha. Trong khi đó, Biến tần cho điện mặt trời và điện gió chuyển đổi nguồn điện sơ cấp thành điện năng 3 pha đồng bộ lưới, có công suất lên tới vài MW.
UPS
UPS hay hệ thống cung cấp điện liên tục, bộ lưu trữ điện dự phòng cho hệ thống máy tính được coi là một nhóm biến tần đặc biệt. UPS chuyển đổi nguồn điện của pin sạc thành nguồn điện xoay chiều cho hệ thống và kích hoạt khi nguồn điện lưới bị hỏng. Dòng điện xoay chiều từ UPS có thể không có dạng hình sin, không ổn định và có thời gian cấp nguồn hạn chế, tùy thuộc vào loại ắc quy được sử dụng.
Trong công nghiệp

- Hệ thống cấp nước tòa nhà cao tầng
Trước đây, việc cấp nước cho nhà cao tầng thường bằng cách bơm nước lên mái rồi đẩy xuống từng tầng. Việc tăng áp cho sàn sẽ được xử lý bằng điều hòa không khí và thiết bị giảm áp. Tuy nhiên, phương pháp cấp nước này quá tốn kém và không hiệu quả lắm. Trong khi đó, thay thế bằng biến tần sẽ giảm chi phí lắp đặt tháp mái.
- Quạt hút hoặc đẩy
Đối với các thiết bị quạt công nghiệp dùng để hút bụi, lò thổi hay thông gió, biến tần cho phép động cơ điều khiển áp suất, khởi động mềm, lưu lượng theo yêu cầu khi cần thiết, giúp tối ưu hóa hoạt động của động cơ và tiết kiệm năng lượng.
Chế độ điều khiển cấp khí truyền thống đóng van đầu vào để kiểm soát áp suất. Khi áp suất đạt đến giới hạn trên, van đầu vào sẽ đóng lại và máy nén chuyển sang trạng thái không tải. Khi áp suất đạt đến giới hạn dưới, van đầu vào mở ra và máy nén hoạt động có tải. Trong trường hợp này, biến tần 3 pha có tác dụng ổn định áp suất đầu ra, giảm thời gian chạy không tải của động cơ và tiết kiệm năng lượng.
- Hệ thống nâng hạ
Đối với cần trục và tời, bộ biến tần có thể điều khiển định vị, mô men xoắn và phanh bằng động cơ xoay chiều. Biến tần dành cho thiết bị nâng hạ có hệ thống phanh tái tạo, hoàn trả năng lượng vào lưới điện an toàn và tiết kiệm.
Những lưu ý khi lắp đặt và vận hành biến tần
Tuy mang lại nhiều giá trị cho hệ thống nhưng các bộ phận của biến tần thường rất nhạy cảm với môi trường bên ngoài nên trong quá trình sử dụng người vận hành cần lưu ý:
- Dựa vào các bộ phận, công đoạn, công đoạn sản xuất để xác định công suất động cơ, làm tiền đề để lựa chọn biến tần phù hợp, tránh lãng phí chi phí đầu tư.
- Bảo quản và vận hành an toàn, đúng cách để tránh hư hỏng linh kiện biến tần
- Cần tính toán, kết hợp biến tần với các phương pháp khởi động động cơ khác để quá trình vận hành được suôn sẻ, tối ưu hóa hiệu suất và chi phí.
Trong hầu hết các trường hợp, việc lắp đặt biến tần thường rất đơn giản, có thể cài đặt trực tiếp qua bảng điều khiển hoặc từ xa qua máy tính. Tuy nhiên, với các hệ thống có tính chuyên môn cao và tự động hóa, cần có kỹ thuật viên có trình độ chuyên môn cao để thực hiện thao tác này.
Trường hợp 1: Ứng dụng đơn giản
Sử dụng biến tần như một thiết bị điều khiển động cơ độc lập cho các ứng dụng như máy bơm, quạt, máy quấn, băng tải, cầu trục,… với chương trình vận hành đơn giản.
Các ứng dụng này chỉ cần cài đặt một số chức năng cơ bản như bật/tắt bằng nút ấn, điều khiển mô tơ chạy đảo chiều, thay đổi tốc độ bằng biến trở, thay đổi các mức tốc độ, cài đặt thời gian tăng giảm tốc… nên bạn hoàn toàn có thể tự thực hiện dưới sự hướng dẫn của kỹ thuật viên.

Xem thêm: Hướng dẫn 6 phương pháp điều khiển biến tần
Trường hợp 2: Ứng dụng chuyên dụng
Biến tần điều khiển động cơ cho các máy chuyên dụng như máy sản xuất nhựa, máy giặt, máy công cụ,… với các chương trình vận hành cụ thể và phản hồi vòng kín.
Việc lắp đặt các loại biến tần này thường do nhà sản xuất thực hiện. Khi cần thay biến tần mới cần phải nhờ kỹ thuật viên chuyên nghiệp cấu hình lại vì việc lắp đặt thường không dễ thực hiện.
Trường hợp 3: Ứng dụng tự động hóa
Biến tần kết nối truyền thông trong hệ thống điều khiển giám sát từ xa thông qua PLC, máy tính công nghiệp trong các nhà máy lớn như xi măng, hóa dầu, ô tô,… thường đòi hỏi người vận hành phải có trình độ chuyên môn cao và am hiểu về hệ thống mới thực hiện được.
Trường Chu Văn An hiện là nhà phân phối biến tần LS hàng đầu tại Việt Nam. Chúng tôi không chỉ cung cấp sản phẩm chính hãng 100% mà còn đảm bảo mang đến cho khách hàng mức giá cạnh tranh và chính sách chiết khấu tốt nhất. Nếu bạn đang có nhu cầu báo giá cho một công trình, dự án hãy liên hệ ngay với Trường Chu Văn An theo số 0904 99 88 77 hoặc email kd@etinco.vn.
Chính sách ưu đãi:
- Bảo hành từ 1-2 năm.
- Chính sách 1 đổi 1 trong thời gian bảo hành (chỉ có tại Trường Chu Văn An).
- Giao hàng nhanh và miễn phí vận chuyển.
Cam kết chất lượng:
- Giấy tờ chứng nhận CO, CQ đầy đủ.
- Sản phẩm luôn có sẵn, đặt hàng và nhận ngay.
- Cam kết sản phẩm chính hãng với chất lượng tốt nhất.
- Giá cả cạnh tranh nhất trên thị trường.
- Dịch vụ bảo hành hàng đầu.
- Cam kết “HOÀN TIỀN 100%” nếu không đảm bảo chất lượng.
Lựa chọn biến tần LS từ Trường Chu Văn An, bạn sẽ cảm nhận được sự khác biệt mà không nhà phân phối nào tại Việt Nam có được.

Nội dung được phát triển bởi đội ngũ truongchuvananhue.edu.vn với mục đích chia sẻ và tăng trải nghiệm khách hàng. Mọi ý kiến đóng góp xin vui lòng liên hệ tổng đài chăm sóc: 1900 0000 hoặc email: hotro@truongchuvananhue.edu.vn